DayThemIconLogo
DayThemTextLogoDayThemSpecificTextLogo
Câu
1
trên 25
ab testing

Trắc nghiệm Chất khí cơ bản ( P3)

Trắc nghiệm lý lớp 10

calendar

Ngày đăng: 03-10-2025

oClockCircle

Thời gian làm: 00:35:00

P

Biên soạn tệp:

Ngô Tố Phương

Tổng câu hỏi:

25

Ngày tạo:

11-09-2025

Tổng điểm:

10 Điểm

Câu hỏi

Số điểm

Lời giải

  1. Câu 1

    Hai bình cùng dung tích chứa cùng một loại khí với khối lượng m1 và m2. Các đồ thị cho biết áp suất của mỗi khí thay đổi theo nhiệt độ của nó. Giữa m1 và m2 có mối quan hệ nào?

    • A.

       m1 > m2

    • B.

      m1 < m2

    • C.

       m1 = m2

    • D.

       Không xác định được vì thiếu yếu tố.

  2. Câu 2

    Khi ta làm nóng đẳng tích một lượng khí lí tưởng, đại lượng nào sau đây là không đổi? (Trong đó n là số phân tử trong một đơn vị thể tích)

    • A.

      p/T;

    • B.

      n/T;

    • C.

      n/p;

    • D.

      n.T;

  3. Câu 3

    Định luật Bôilơ – Mariot được áp dụng trong quá trình:

    • A.

      Nhiệt độ của khối khí không đổi.

    • B.

      Khối khí dãn nở tự do.

    • C.

      Khối khí không có sự trao đổi nhiệt lượng với bên ngoài.

    • D.

      Khối khí đựng trong bình kín và bình không dãn nở nhiệt.

  4. Câu 4

    Chọn hình biểu diễn khác biệt trong các đồ thị sau:

    • A.

       

    • B.

       

    • C.

       

    • D.

       

  5. Câu 5

    Công thức nào sau đây không phù hợp với quá trình đẳng áp?

    • A.

    • B.

    • C.

    • D.

  6. Câu 6

    Câu nào phù hợp với quá trình đẳng tích của một lượng khí?

    • A.

      Áp suất lệ nghịch với nhiệt độ tuyệt đối.

    • B.

      Khi nhiệt độ tăng từ 300oC lên 600oC thì áp suất tăng lên gấp đôi.

    • C.

      Áp suất tỉ lệ nghịch với nhiệt độ.

    • D.

      Hệ số tăng áp đẳng tích của mọi chất khí đều bằng 1/273.

  7. Câu 7

    Trong hình vẽ là đường đẳng nhiệt của hai lượng khí giống nhau kết quả nào sau đây là đúng khi so sánh các thể tích T1 và T2?

    • A.

       \({T}_{1}<{T}_{2}\)

    • B.

      \({T}_{1}\le {T}_{2}\)

    • C.

       \({T}_{1}>{T}_{2}\)

    • D.

       \({T}_{1}\ge {T}_{2}\)

  8. Câu 8

    Xét một khối lượng khí xác định:

    • A.

      Giảm nhiệt độ tuyệt đối 2 lần, đồng thời tăng thể tích 2 lần thì áp suất tăng 4 lần

    • B.

      Tăng nhiệt độ tuyệt đối 4 lần, đồng thời tăng thể tích 2 lần thì áp suất tăng 4 lần

    • C.

      Tăng nhiệt độ tuyệt đối 3 lần, đồng thời giảm thể tích 3 lần thì áp suất tăng 9 lần 

    • D.

      Tăng nhiệt độ tuyệt đối lên 2 lần, đồng thời giảm thể tích 2 lần thì áp suất sẽ không giảm.

  9. Câu 9

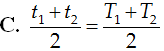
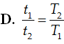
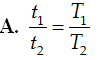
    Gọi t1, t2 là trị số của hai nhiệt độ trong giai nhiệt bách phân. T1 và T2 là trị số của hai nhiệt độ ấy trong giai nhiệt tuyệt đối. Hệ thức đúng là:

    • A.

    • B.

    • C.

    • D.

  10. Câu 10

    Phát biểu nào sau đây là đúng khi nhận xét về tích p.V của một lượng khí lí tướng nhất định.

    • A.

      Tỉ lệ thuận với nhiệt độ tuyệt đối

    • B.

      Không phụ thuộc vào nhiệt độ

    • C.

      Tỉ lệ thuận với nhiệt độ Xen-xi-út

    • D.

      Tỉ lệ nghịch với nhiệt độ tuyệt đối

  11. Câu 11

    Trong quá trình nào, thể tích của khí là không đổi khi một lượng khí thực hiện 4 quá trình như hình vẽ

    • A.

       Quá trình 1 – 2

    • B.

       Quá trình 2 – 3

    • C.

       Quá trình 3 – 4

    • D.

       Quá trình 4 – 1

  12. Câu 12

    Trong hệ tọa độ (V, T), đường đẳng áp là đường

    • A.

      thẳng song song với trục hoành.

    • B.

      hypebol.

    • C.

      thẳng song song với trục tung.

    • D.

      thẳng có đướng kéo dài đi qua gốc tọa độ.

Xem trước