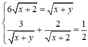
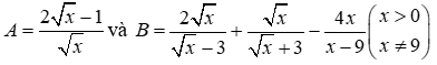
Câu
1
trên 5Đề thi Giữa học kỳ 2 Toán 9 - Đề 82 có đáp án
Tự luận toán lớp 9
Ngày đăng: 01-11-2024
Thời gian làm: 00:15:00
H
Chia sẻ
Biên soạn tệp:
Lê Tiến Gia Hiếu
Tổng câu hỏi:
5
Ngày tạo:
01-11-2024
Tổng điểm:
10 Điểm
Câu hỏi
Số điểm
Lời giải
Xem trước

