Câu
1
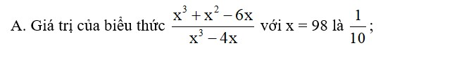
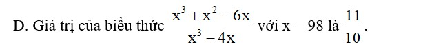
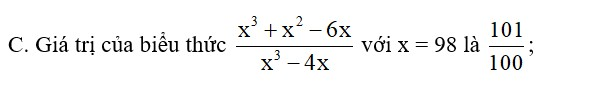
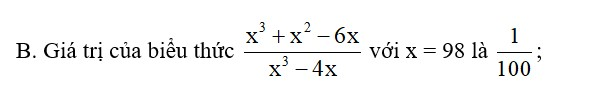
trên 10Bài tập Tính giá trị của phân thức (có lời giải)
Trắc nghiệm toán lớp 8
Ngày đăng: 22-10-2025
Thời gian làm: 00:20:00
T
Chia sẻ
Biên soạn tệp:
Trần Hữu Khánh Tiến
Tổng câu hỏi:
10
Ngày tạo:
19-10-2025
Tổng điểm:
10 Điểm
Câu hỏi
Số điểm
Lời giải
Xem trước

