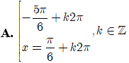
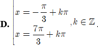
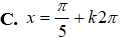
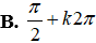
Câu
1
trên 30Bài tập Lượng giác lớp 11 cơ bản, nâng cao có lời giải (P3)
Trắc nghiệm toán lớp 11
Ngày đăng: 20-10-2025
Thời gian làm: 00:40:00
H
Chia sẻ
Biên soạn tệp:
Nguyễn Tấn Hoàng
Tổng câu hỏi:
30
Ngày tạo:
14-10-2025
Tổng điểm:
10 Điểm
Câu hỏi
Số điểm
Lời giải
Xem trước

