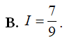
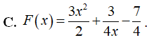
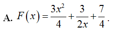
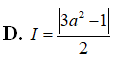
Câu
1
trên 25Bài tập Tích phân cơ bản, nâng cao có lời giải (P5)
Trắc nghiệm toán lớp 12
Ngày đăng: 24-10-2025
Thời gian làm: 00:35:00
T
Chia sẻ
Biên soạn tệp:
Hoàng Tường Tuyết Thảo
Tổng câu hỏi:
25
Ngày tạo:
13-10-2025
Tổng điểm:
10 Điểm
Câu hỏi
Số điểm
Lời giải
Xem trước

