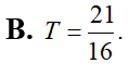
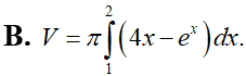
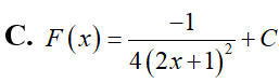
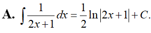
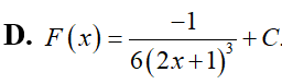
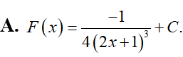
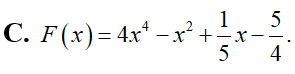
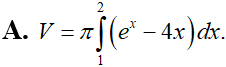
Câu
1
trên 25Bài tập nguyên hàm tích phân cơ bản, nâng cao (P8)
Trắc nghiệm toán lớp 12
Ngày đăng: 17-10-2025
Thời gian làm: 00:35:00
H
Chia sẻ
Biên soạn tệp:
Phạm Thái Hạnh
Tổng câu hỏi:
25
Ngày tạo:
11-10-2025
Tổng điểm:
10 Điểm
Câu hỏi
Số điểm
Lời giải
Xem trước

